公众服务首页
司法行政人员首页
欢迎您访问司法行政(法律服务)案例库
首页 > 浙江迪安司法鉴定中心对交通事故车辆视频录像进行车速鉴定

浙江迪安司法鉴定中心对交通事故车辆视频录像进行车速鉴定

分享
案例内容
【案情简介】

2017年8月24日06时23分许,陈某某驾驶浙ADXXXX号轻型普通货车沿XX市XX北路由西向东行驶至XX2号门路口时,与沿XX北路由西向东同向行驶至路口左转弯骑行自行车的倪某某相撞,造成倪某某当场死亡、两车损坏的交通事故。

XX市公安局交通警察支队XX大队为查明事实真相,确定事故责任,于2017年8月27日委托浙江迪安司法鉴定中心,依据送检固定式监控录像视频图像,对挂浙ADXXXX号牌的轻型普通货车在事故发生临近前的行驶速度进行鉴定。

【鉴定过程】

遵守和采用GB/T 33195-2016《道路交通事故车辆速度鉴定》、GA/T 1133-2014《基于视频图像的车辆行驶速度技术鉴定》、GA 41-2014《道路交通事故痕迹物证勘验》和GA 50-2014《道路交通事故现场勘验照相》技术规范进行检验鉴定。

1.对检材视频的检验

检材监控录像视频文件名为:“15010-XX北路口XX北门_1B0F1F28_1503537989_1.mp4”,文件格式:MP4,分辨率:1920×1080像素,视频长度:00:19:49, 帧率:25fps,摄像机名址:“15010-XX北路口XX北门”。(见下图)

2.对事故现场的勘验测量

通过现场勘验测量实测,选定的二处道路环境参照物XX北路由西向东人行横道窨井盖中心点至停止线中央点的垂直直线距离为:S=24.38m。(见下图)

3.目标车辆特征点和道路环境参照物的设定

该视频画面显示挂浙ADXXXX号牌的轻型普通货车(以下简称:目标车辆)由左上向右下行驶。相关帧录像画面显示:

在时间06:23:19第18帧图像中,设定目标车辆右前轮轮胎接地点为车辆特征点;设定通过人行横道窨井盖中心南北的平行连线为道路环境参照物1;设定人行横道停止线中心南北平直连线为道路环境参照物2,在视频图像中目标车辆特征点到达道路环境参照物1。(见下图)

在时间06:23:21第14帧图像中,目标车辆特征点到达道路环境参照物2。(见下图)

4.通过视频动态逐帧观察,目标车辆特征点通过道路环境参照物1至2时所用图像46帧。(见下图)

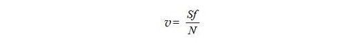
5.车速分析计算

依据GA/T 1133-2014《基于视频图像的车辆行驶速度技术鉴定》,目标车辆特征点通过道路环境参照物1至2时的行驶速度为:

式中:

(1)S为道路环境参照物1和2之间间距,即为XX北路西向东人行横道窨井盖中心至停止线的垂直距离为:S=24.38m。

(2)f为视频图像的帧率f为25帧/秒。

(3)N为目标车辆特征点通过道路环境参照物1至2所用图像帧数,考虑视频分析带来的视觉误差,误差取值±1帧,即帧数N=46±1帧。

将参数代入公式整理计算得:

v=12.968~13.544(m/s)≈46.685~48.758(km/h)

即目标车辆特征点通过道路环境参照物1至2的行驶速度(取小数点后二位)为46.68~48.75km/h。

【分析说明】

检材视频图像播放流畅,帧率稳定,画面清晰,肉眼可以分辨目标车辆外观特征、运动轨迹,能够在视频图像范围内有效选取或设定目标车辆特征点和地面参照物。

【鉴定意见】

依据送检固定式监控录像视频图像测速,挂浙ADXXXX号牌的轻型普通货车在事故发生临近前通过XX北路至XX2号门路口时,其右前轮轮胎接地点(车辆特征点)通过人行横道窨井盖中心南北的平行连线(参照物1)至人行横道停止线中心南北平直连线(参照物2)时的行驶速度为46.68~48.75km/h。

您的满意度:
满意
基本满意
不满意
您的满意度: