公众服务首页
司法行政人员首页
欢迎您访问司法行政(法律服务)案例库
首页 > 司法鉴定中心对公安机关户籍管理所涉亲权关系进行DNA法医物证鉴定案

司法鉴定中心对公安机关户籍管理所涉亲权关系进行DNA法医物证鉴定案

分享
案例内容
【案情简介】

2019年7月30日,因办理户籍迁出、迁入登记需要,吴某委托本中心对黄小某与黄正某、黄珍某与黄正某、吴某与黄正某之间亲权关系进行鉴定。在检验过程中发现黄小某有55个基因座均能提供给黄正某必需的等位基因,仅1个基因座(TPOX)违反孟德尔遗传定律,疑似符合生物学母子关系;而黄珍某与黄正某之间符合生物学母子关系,故出现一个孩子有两个母亲的奇特现象。本中心工作人员立即联系当事人,与当事人沟通,得知黄小某与黄珍某之间系全同胞姐妹关系,当事人反馈黄正某现在的出生证上母亲姓名处登记着黄小某,必须排除黄小某与黄正某之间的亲权关系,户籍才能迁出。鉴定人员通过吴某、黄正某与黄小某之间的三联体亲权鉴定,成功地解决了黄正某的户籍迁出、迁入登记问题,受到当事人的好评。

【鉴定过程】

(一)检材处理和鉴定方法

1.DNA提取:按照中华人民共和国公共安全行业标准《法庭科学DNA实验室检验规范》(GA/T 383-2014)附录A中聚苯乙烯二乙烯基苯树脂(chelex)法提取所有检材DNA。

2.人类DNA性别及STR多态性分析:取所有检材DNA适量,采用AGCU EX22、AGCU 21+1和AGCU X19人类荧光标记STR复合扩增检测试剂(无锡中德美联生物技术有限公司)进行复合PCR扩增,用ABI-3500型遗传分析仪(AB公司)进行毛细管电泳和基因型分析,得到上述检材的基因分型。

3.数据处理:按照中华人民共和国国家市场监督管理总局和中国国家标准化管理委员会发布的《亲权鉴定技术规范》(GB/T 37223-2018)规定的相关参数计算方法,运用本中心确认的群体遗传数据,计算相关亲权指数(PI值)与累积亲权指数(CPI值)。

(二)检验结果

1.黄小某与黄正某的二联体亲权鉴定

累积亲权指数(CPI)=1596351.8376

2.黄珍某与黄正某的二联体亲权鉴定

累积亲权指数(CPI)=3603437.3081

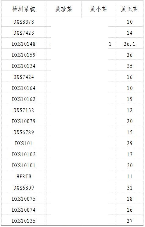
3.黄珍某、黄小某与黄正某的X染色体STR分型结果

4.吴某与黄正某的二联体亲权鉴定

累积亲权指数(CPI)=22292534.8104

5.吴某、黄正某与黄小某的三联体亲权鉴定

累积亲权指数(CPI)=0.000056

6.吴某、黄正某与黄珍某的三联体亲权鉴定

累积亲权指数(CPI)=71495132328.4617

【分析说明】

D3S1358等39个STR基因座均为人类的遗传标记,遵循孟德尔遗传定律,联合应用可进行亲权鉴定,其累积非父排除概率大于0.9999。综上检验结果分析,除TPOX基因座外,黄小某均能提供给黄正某必需的等位基因。在TPOX基因座,黄正某的基因型为9,黄小某的基因型为8/11,黄小某不能提供给黄正某必需的等位基因9,不符合遗传规律。按照《亲权鉴定技术规范》(GB/T 37223-2018)中不符合遗传规律情形时亲权指数的计算方法,TPOX基因座的亲权指数为0.0037。综上39个STR基因座的累积亲权指数为1596351.8376。

黄正某的等位基因可从黄珍某的基因型中找到来源,经计算,累积亲权指数为3603437.3081;黄正某的等位基因可从吴某的基因型中找到来源,经计算,累积亲权指数为22292534.8104。

X染色体属人类的性染色体,正常女性有两条,女性的X染色体来自父母双方。正常男性只有一条,男性的X染色体来自母亲,以单倍型形式存在且只能遗传给女儿。按照《法医物证鉴定X-STR检验规范》(SF/Z JD0105006-2018)规定的X-STR基因座检测的基本要求、检验程序、系统评估等对黄珍某和黄正某进行法医学X-STR检验。在DXS8378等19个X-STR检测系统中,黄正某的等位基因可从黄珍某、黄小某的基因型中找到来源。

依据《亲权鉴定技术规范》(GB/T 37223-2018)第8.7款规定,累积亲权指数大于10000时,支持吴某为黄正某的生物学父亲,确定父源基因后,在吴某、黄正某与黄小某之间的三联体亲权鉴定中,黄正某在TPOX、D2S1338、CSF1PO、D19S433和D5S818等基因座的等位基因不能从黄小某的基因型中找到来源,经计算,累积亲权指数为0.000056;在吴某、黄正某与黄珍某之间的三联体亲权鉴定中,黄正某的等位基因可从黄珍某的基因型中找到来源,经计算,累积亲权指数为71495132328.4617。

【鉴定意见】

依据现有资料和DNA分析结果,排除黄小某为黄正某的生物学母亲,支持黄珍某为黄正某的生物学母亲,支持吴某为黄正某的生物学父亲。

您的满意度:
满意
基本满意
不满意
您的满意度: